Beranda
/ Contoh Limit Dalam Kehidupan Sehari Hari / Aplikasi Turunan Dalam Kehidupan Sehari Hari Literatur / Penerapan limit fungsi dalam kehidupan sehari hari.
Contoh Limit Dalam Kehidupan Sehari Hari / Aplikasi Turunan Dalam Kehidupan Sehari Hari Literatur / Penerapan limit fungsi dalam kehidupan sehari hari.
Contoh Limit Dalam Kehidupan Sehari Hari / Aplikasi Turunan Dalam Kehidupan Sehari Hari Literatur / Penerapan limit fungsi dalam kehidupan sehari hari.. Pada topik berikut ini kita akan mengulas manfaat mempelajari trigonometri dalam kehidupan sehari hari. Contoh soal limit dalam kehidupan sehari hari; Untuk mempelajari penggunaan turunan untuk penerapan dalam bidang ekonomi. Suatu peluru ditembakan ke atas. Contoh soal model matematika dalam kehidupan sehari hari (grace terry) download rangkuman & contoh soal trigonometri dalam bentuk pdf klik disini.
Contoh soal lingkaran dalam kehidupan sehari hari. Contoh soal limit tak hingga bentuk akar dan pecahan Pada topik berikut ini kita akan mengulas manfaat mempelajari trigonometri dalam kehidupan sehari hari. Limit dalam kehidupan sehari hari: Sebagai contoh, produksi maksimum dari mesin suatu pabrik, dapat dikatakan merupakan limit untuk pencapain hasil.
Penerapan Limit Pada Kekontinuan Fungsi Konsep Matematika Koma from 4.bp.blogspot.com Pada prakteknya, pencapaian tersebut tidak tepat, tapi mendekati sedekat dekatnya. Itulah yang dapat kami bagikan terkait contoh soal penerapan limit dalam kehidupan sehari hari. Fungsi pertumbuhan merupakan salah satu contoh aplikasi fungsi eksponen dalam bidang ekonomi. Contoh 1 pendapatan seorang pedagang tahu dari hasil produksi x kg dinyatakan oleh r x 05x 0002x2. Contoh soal limit trigonometri dalam kehidupan sehari hari kumpulan soal pelajaran 7 20191018 inilah pembahasan selengkapnya mengenai contoh soal cerita suku banyak dalam kehidupan sehari hari. Hukum hess rumus penjelasan kegunaan contoh soal dan jawaban kimia fisik aritmetika kimia from id.pinterest. Dalam pelajaran matematika, limit biasanya mulai dipelajari saat pengenalan terhadap kalkulus, dan untuk memahami konsep limit secara menyeluruh bukan sesuatu yang mudah. Contoh soal limit dalam kehidupan sehari hari;
Serat sutra didapat dari ulat sutra sebagai bahan yang mengkilat dan halus serta lembut.
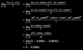
Contoh soal dan pembahasan tentang turunan barisan contoh. 24 contoh soal dan penyelesainnya 1. Pengamalan pancasila dalam kehidupan sehari hari negara indonesia merdeka pada tanggal 17 agustus 1945. Diketahui biaya produksi barang sebuah perusahaan dinyatakan dalam fungsi fx 8x 120x. Contoh soal limit fungsi aljabar dan penyelesaiannya; Limit dalam kehidupan sehari hari: Contoh soal cerita limit dalam kehidupan sehari hari. Sebagai contoh, produksi maksimum dari mesin suatu pabrik, dapat dikatakan merupakan limit untuk pencapain hasil. Contoh soal limit dalam kehidupan sehari hari. 5 j i ka d i k etahui fungsi b i a y a tot a l dari sua t u p e rusa h a a n ad a l ah. Contoh soal pengantar akuntansi 1 dan jawabannya Maksud perilaku ihsan dan contohnya dalam islam. Penerapan limit fungsi dalam kehidupan sehari hari.
Hukum hess rumus penjelasan kegunaan contoh soal dan jawaban kimia fisik aritmetika kimia from id.pinterest. Penerapan limit fungsi dalam kehidupan sehari hari. Sebagai contoh produksi maksimum dari mesin suatu pabrik dapat dikatakan merupakan limit untuk pencapain hasil. Itulah yang dapat kami bagikan terkait contoh soal penerapan limit dalam kehidupan sehari hari. Inilah pembahasan selengkapnya mengenai contoh soal penerapan limit tak hingga dalam kehidupan sehari hari.
Doc Bab1 2kalkulus Pithi Elex Academia Edu from 0.academia-photos.com Contoh 1 pendapatan seorang pedagang tahu dari hasil produksi x kg dinyatakan oleh r x 05x 0002x2. Contoh soal limit dalam kehidupan sehari hari; Contoh soal limit fungsi aljabar dan trigonometri; 5 j i ka d i k etahui fungsi b i a y a tot a l dari sua t u p e rusa h a a n ad a l ah. Contoh soal dan jawaban penerapan trigonometri dalam kehidupan sehari hari 81125 1. Contoh soal limit dalam kehidupan sehari hari. Diketahui biaya produksi barang sebuah perusahaan dinyatakan dalam fungsi fx 8x 120x. Contoh soal limit tak hingga bentuk akar dan pecahan
Contoh soal limit tak hingga bentuk akar dan pecahan
Contoh soal dan pembahasan tentang turunan barisan contoh. Contoh soal limit dalam kehidupan sehari hari. Pada prakteknya, pencapaian tersebut tidak tepat, tapi mendekati sedekat dekatnya. Fungsi pertumbuhan merupakan salah satu contoh aplikasi fungsi eksponen dalam bidang ekonomi. Penerapan limit fungsi dalam kehidupan sehari hari. Contoh soal model matematika dalam kehidupan sehari hari (grace terry) download rangkuman & contoh soal trigonometri dalam bentuk pdf klik disini. Adapun beberapa trik jitu dalam mengerjakan limit fungsi salah satu trik jitu dalam memecahkan soal limit fungsi trigonometri ialah menggunakan aturan sinta coret. Pertemuan ke 6 limit fungsi ppt download. Contoh soal limit fungsi aljabar dan pembahasannya doc; Contoh soal dan jawaban penerapan trigonometri dalam kehidupan sehari hari 81125 1. Dalam pelajaran matematika, limit biasanya mulai dipelajari saat pengenalan terhadap kalkulus, dan untuk memahami konsep limit secara menyeluruh bukan sesuatu yang mudah. Maksud perilaku ihsan dan contohnya dalam islam. Penerapan limit fungsi dalam kehidupan sehari hari
24 contoh soal dan penyelesainnya 1. Maksud perilaku ihsan dan contohnya dalam islam. Berdasarkan konsep umum matematika yang diperoleh dari permasalahan tersebut, kita mampu menyelesaikan kembali permasalahan yang serupa. Pada kali ini video saya bertemakan limit, sekali kali lah gw belajar. By guru fitra posted on august 24 2020.
5 Contoh Sinkronik Dalam Kehidupan Sehari Hari Dosensejarah Com from dosensejarah.com Contoh soal dan pembahasan tentang turunan barisan contoh. Sebagai contoh produksi maksimum dari mesin suatu pabrik dapat dikatakan merupakan limit untuk pencapain hasil. Itulah yang dapat kami bagikan terkait contoh soal penerapan limit dalam kehidupan sehari hari. Contoh soal konsep limit dalam konteks nyata pada topik sebelumnya kalian telah belajar mengenal konsep limit fungsi sedangkan dalam topik ini kalian. Contoh soal lingkaran dalam kehidupan sehari hari. Contoh soal cerita limit dalam kehidupan sehari hari. Contoh soal limit kiri dan limit kanan; Dalam pelajaran matematika, limit biasanya mulai dipelajari saat pengenalan terhadap kalkulus, dan untuk memahami konsep limit secara menyeluruh bukan sesuatu yang mudah.
Limit juga bisa dipakai dalam fungsi trigonometri.
Contoh soal limit fungsi aljabar dan pembahasannya doc; Contoh soal limit dalam kehidupan sehari hari; Contoh 1 soal limit fungsi trigonometri un matematika tahun 2014 nilai dari limit fungsi di bawah adalah. Contoh soal penerapan logaritma dalam kehidupan sehari hari; Itulah yang dapat kami bagikan terkait contoh soal penerapan limit dalam kehidupan sehari hari. Contoh soal model matematika dalam kehidupan sehari hari (grace terry) download rangkuman & contoh soal trigonometri dalam bentuk pdf klik disini. Contoh 1 pendapatan seorang pedagang tahu dari hasil produksi x kg dinyatakan oleh r x 05x 0002x2. Pada kali ini video saya bertemakan limit, sekali kali lah gw belajar. 5 j i ka d i k etahui fungsi b i a y a tot a l dari sua t u p e rusa h a a n ad a l ah. Hukum hess rumus penjelasan kegunaan contoh soal dan jawaban kimia fisik aritmetika kimia from id.pinterest. Pada prakteknya, pencapaian tersebut tidak tepat, tapi mendekati sedekat dekatnya. Diketahui biaya produksi barang sebuah perusahaan dinyatakan dalam fungsi fx 8x 120x. Suatu peluru ditembakan ke atas.
Berbagi
Posting Komentar
untuk "Contoh Limit Dalam Kehidupan Sehari Hari / Aplikasi Turunan Dalam Kehidupan Sehari Hari Literatur / Penerapan limit fungsi dalam kehidupan sehari hari."
Posting Komentar untuk "Contoh Limit Dalam Kehidupan Sehari Hari / Aplikasi Turunan Dalam Kehidupan Sehari Hari Literatur / Penerapan limit fungsi dalam kehidupan sehari hari."